Hệ số truyền nhiệt tổng thể (U-value) phản ánh khả năng dẫn nhiệt qua một chuỗi các môi trường có nhiệt trở. Đơn vị của nó là W/(m²°C) [hoặc Btu/(hr-ft²°F)].
MỤC LỤC
Hơi Nước vs. Nước Nóng
Bài viết này trình bày cách tính toán và so sánh giá trị U trong quá trình truyền nhiệt của hơi nước và nước nóng qua các loại môi trường khác nhau, bao gồm hệ số màng (film coefficients) và vật liệu thành thiết bị.

Hệ số truyền nhiệt tổng thể
Hệ số này phụ thuộc vào độ dày và độ dẫn nhiệt của các lớp vật liệu mà nhiệt truyền qua. Hệ số U càng lớn, nhiệt truyền từ nguồn đến sản phẩm càng hiệu quả. Trong bộ trao đổi nhiệt, mối quan hệ giữa hệ số truyền nhiệt tổng thể (U) và tốc độ truyền nhiệt (Q) được biểu diễn bằng phương trình:
Q=UAΔTLM
Trong đó:
- Q = Tốc độ truyền nhiệt (W = J/s) [Btu/hr]
- A = Diện tích bề mặt truyền nhiệt (m²) [ft²]
- U = Hệ số truyền nhiệt tổng thể (W/(m²°C)) [Btu/(hr-ft²°F)]
- ΔTLM = Hiệu nhiệt độ trung bình logarit (°C) [°F]
Từ phương trình này, ta thấy U tỷ lệ thuận với Q. Nếu diện tích truyền nhiệt (A) và chênh lệch nhiệt độ (ΔTLM) không đổi, U càng cao thì tốc độ truyền nhiệt càng lớn. Điều này có nghĩa, với cùng một thiết bị, U cao hơn giúp rút ngắn thời gian gia nhiệt và tăng năng suất.
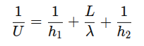
Tính toán hệ số U
Một trong các công thức tính U là:

Trong đó:
- h = Hệ số truyền nhiệt đối lưu (W/(m²°C)) [Btu/(hr-ft²°F)]
- L = Độ dày thành thiết bị (m) [ft]
- λ = Độ dẫn nhiệt của vật liệu (W/(m°C)) [Btu/(hr-ft°F)]

Ví dụ khi gia nhiệt nước, nhiệt truyền từ:
- Chất lỏng 1 (nguồn nhiệt) →
- Vật liệu rắn dẫn nhiệt (thành kim loại) →
- Chất lỏng 2 (nước cần gia nhiệt).
Tuy nhiên, cần xét thêm điện trở màng (film resistance), do đó hệ số truyền nhiệt đối lưu (h) – hay hệ số màng – được đưa vào tính toán.
Trong một số ứng dụng đặc biệt (dược phẩm, công nghệ sinh học), nhiệt có thể truyền qua nhiều lớp vật liệu. Khi đó, công thức trên được điều chỉnh bằng cách thêm độ dày (L) và độ dẫn nhiệt (λ) của từng lớp.
Giá trị tham khảo hệ số h
| Chất lỏng | Hệ số truyền nhiệt đối lưu (h) |
|---|---|
| Nước | ~1000 W/(m²°C) [176 Btu/(hr-ft²°F)] |
| Nước nóng | 1000–6000 W/(m²°C) [176–1057 Btu/(hr-ft²°F)] |
| Hơi nước | 6000–15000 W/(m²°C) [1057–2641 Btu/(hr-ft²°F)] |
Ví dụ so sánh ảnh hưởng của nguồn nhiệt (hơi nước/nước nóng) đến U
Thiết bị: Hai nồi cách thủy bằng thép carbon (λ = 50 W/(m°C)), thành dày 15mm, dùng để gia nhiệt nước.
- Nồi 1: Dùng nước nóng làm nguồn nhiệt (h = 3000 W/(m²°C)).
- Nồi 2: Dùng hơi nước (h = 10000 W/(m²°C)).
- Hệ số truyền nhiệt của nước cần gia nhiệt: 1000 W/(m²°C).
Kết quả tính U:
- Với nước nóng:

U = 612 W/(m²°C)
- Với hơi nước :

U = 714 W/(m²°C)
→ Trong trường hợp này, hơi nước giúp cải thiện hệ số U lên 17% (theo tính toán)
Nếu thành nồi được phủ thêm lớp thủy tinh 1mm (λ = 0.9 W/(m°C)):
Với nước nóng:

U = 364 W/(m²°C)
- Với hơi nước :

U = 398 W/(m²°C)
→ Trong trường hợp này, mặc dù có thêm nhiệt trở dẫn nhiệt, hệ số U vẫn được cải thiện nhưng chỉ ở mức 9%. Điều này cho thấy vật liệu dẫn nhiệt kém như thủy tinh có thể ảnh hưởng đáng kể đến quá trình truyền nhiệt..
Kết luận
- Với thiết bị bằng vật liệu dẫn nhiệt tốt (thép carbon), thay nước nóng bằng hơi nước giúp tăng đáng kể hệ số U.
- Nhưng với thiết bị có nhiều lớp vật liệu kém dẫn nhiệt (ví dụ nồi tráng thủy tinh), hiệu quả sẽ hạn chế hơn.
- Một số quy trình yêu cầu vật liệu đặc biệt (như thủy tinh) để tránh phản ứng hóa học, nhưng dùng hơi nước vẫn có thể tối ưu hóa truyền nhiệt.
Hiểu sâu hơn: Hiện tượng cáu cặn (Fouling)
Hiện tượng cáu cặn bề mặt vật liệu có thể tạo thêm rào cản đối với quá trình truyền nhiệt. Vấn đề này có thể xảy ra ở cả hai phía: môi trường gia nhiệt và phía sản phẩm, do nhiều nguyên nhân khác nhau. Một số nguyên nhân chính bao gồm:
Nguyên nhân gây cáu cặn:
- Phía gia nhiệt: Sự lắng đọng của các hạt rắn (cặn bẩn, cặn khoáng…)
- Phía sản phẩm: Nhiệt độ quá cao hoặc quá thấp so với yêu cầu
Ví dụ thực tế:
- Khi tăng áp suất hơi để đẩy nước ngưng qua van xả, nhiệt độ hơi sẽ tăng theo. Nhiệt độ quá cao này có thể:
- Làm tăng cáu cặn phía sản phẩm
- Gây cháy khét hoặc biến tính sản phẩm
- Ngược lại, nếu nước ngưng bị ứ đọng trong thiết bị:
- Phía gia nhiệt: Cặn bẩn tích tụ từ nước ngưng
- Phía sản phẩm: Nhiệt độ thấp khiến sản phẩm đóng cứng trên bề mặt khi không duy trì được độ nhớt yêu cầu
Cách tính toán ảnh hưởng của cáu cặn:
- Có thể đưa yếu tố cáu cặn vào công thức tính U bằng cách thêm tỷ số LF/λF (độ dày cáu cặn/độ dẫn nhiệt)
- Trong thực tế, thường sử dụng hệ số cáu cặn (fouling factor) cho thiết bị đã vận hành
- Các tính toán thường so sánh hệ số U giữa hai trạng thái:
- Thiết bị sạch (clean)
- Thiết bị đang vận hành (in-service)
Ảnh hưởng chính:
- Làm giảm đáng kể hiệu suất truyền nhiệt
- Tăng chi phí vận hành và bảo trì
- Có thể gây hư hỏng thiết bị nếu không được xử lý kịp thời
Giải pháp:
- Thiết kế hệ thống xả nước ngưng hợp lý
- Bảo trì, vệ sinh thiết bị định kỳ
- Kiểm soát chặt chẽ nhiệt độ và áp suất làm việc
- Sử dụng vật liệu chống bám cặn khi cần thiết
Nguồn: TLV
Người dịch: Thanh Dương

các bài viết khác
Đúc vs. Rèn
Điều khiển áp suất hơi nước: Giải pháp tối ưu cho hệ thống nhiệt công nghiệp
Ngăn Ngừa Rò Rỉ Hơi Nước
Ứng dụng chính của hơi nước trong công nghiệp – từ Gia nhiệt đến Vận hành Turbine
Bẫy Nhóm (Group Trapping)
7 Tiêu Chí Vàng Chọn Nhà Cung Cấp Lò Hơi: Tránh Rủi Ro, Tối Ưu Hiệu Suất